Retribusi Wisata Pangandaran Maret 2026 Melonjak, Lampaui Musim Lebaran 2025
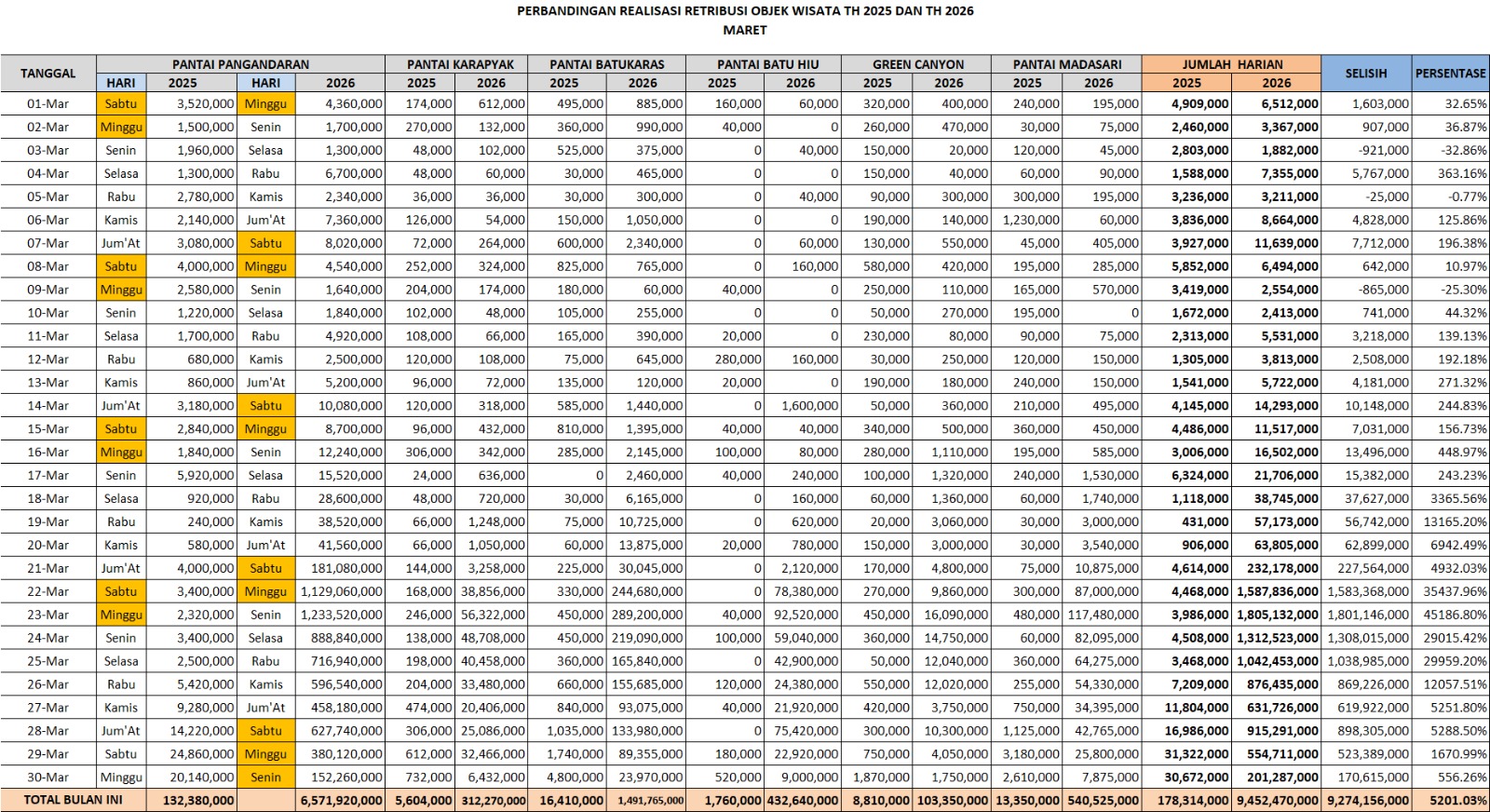
Pangandaran, global aktual – Realisasi retribusi objek wisata di Kabupaten Pangandaran pada Maret 2026 mencatat lonjakan luar biasa hingga Rp9,45 miliar, angka yang bahkan disebut melampaui capaian pada musim libur Lebaran 2025.
Jika dibandingkan dengan periode Lebaran 2025 yang biasanya menjadi puncak kunjungan wisata tahunan, capaian Maret 2026 menunjukkan tren yang jauh lebih tinggi. Pada Lebaran 2025, lonjakan retribusi memang terjadi, namun tidak sampai menembus angka kunjungan dalam rentang harian seperti yang terlihat pada Maret 2026.
Beberapa hari pada Maret 2026 bahkan mencatat pendapatan ekstrem:
- 22 Maret 2026: Rp1,58 miliar
- 23 Maret 2026: Rp1,80 miliar
- 24 Maret 2026: Rp1,31 miliar
Angka tersebut menunjukkan bahwa intensitas kunjungan wisata tidak hanya terjadi saat Lebaran, tetapi mulai bergeser ke periode lain dengan durasi yang lebih panjang.
- Perbandingan ini merujuk pada:
Maret 2026 (1–30 Maret) - Musim libur Lebaran 2025 (periode puncak arus wisata tahunan)

Seluruh objek wisata utama di Kabupaten Pangandaran, seperti Pantai Pangandaran, Green Canyon, Batukaras, hingga Madasari, menjadi kontributor utama.
Kepala Bidang Retribusi pada Badan Pendapatan Daerah Kabupaten Pangandaran, Bagus Winahyu, ST menyatakan capaian ini merupakan hasil kerja bersama antara pemerintah daerah dan pengelola wisata.
Menurut Bagus, ada beberapa faktor yang membuat capaian Maret 2026 melampaui Lebaran 2025:
- Distribusi libur yang lebih panjang, tidak terpusat hanya pada Lebaran
- Peningkatan sistem pengelolaan retribusi, termasuk digitalisasi
- Pengawasan lebih ketat terhadap kebocoran pendapatan
- Tren wisata yang meningkat pascapandemi dan promosi destinasi.
“Kalau sebelumnya puncak hanya saat Lebaran, sekarang kunjungan wisata sudah lebih merata dan bahkan bisa melampaui momen Lebaran seperti yang terjadi di Maret 2026 ini,” ujar Bagus.
Pemerintah daerah melakukan:
- Penataan sistem tiket dan retribusi
- Peningkatan pengawasan di pintu masuk wisata
- Kolaborasi dengan pelaku usaha wisata
- Optimalisasi potensi destinasi unggulan
Rincian Perbandingan
Lebaran 2025: puncak musiman, namun fluktuatif dan terbatas beberapa hari
Maret 2026:
- Total: Rp9.452.470.000
- Lonjakan terjadi berhari-hari, bukan hanya satu momentum
“Capaian Maret 2026 menandai pergeseran pola kunjungan wisata di Pangandaran, dari yang sebelumnya terpusat saat Lebaran menjadi lebih merata sepanjang waktu. Hal ini menjadi sinyal positif bagi stabilitas pendapatan daerah, sekaligus tantangan untuk menjaga kualitas layanan wisata ke depan, “pungkas Bagus Winahyu. (Hrs)
